ここまで韓国人の火病っぷりを見れば、
韓国の負けだなw- 362
名無し2023/05/08(Mon) 17:57:55(1/1)
このレスは削除されています
戦時中、苦しかったのは参戦国全てじゃないの? 岸田は全ての関係各国に土下座外交してきなさい☆ 俺達日本人の怒りを買い💢
広義な意味でそう思うと個人の感情から発言するのなら、自分の立場を弁えろ!!!!日本国。、内閣、総理大臣だぞ。お前は!!!
散っていった日本の先人達にこそ、声明の1つでも述べてみんかい!と、、言いたい☆昭和天皇の爪のアカでも煎じて飲んでろ、政治屋共は💢
- 365
名無し2023/05/08(Mon) 19:31:30(2/2)
このレスは削除されています
こっちにも書いておくか
日本は旧来の立場を変えないと岸田首相が言ったのに
なんで、韓国は歴史や領土を問題化して騒ぎたてるスタイルをやめるんだ?
まずは過去の謝罪から、とか
竹島の領有権主張はやめろとか
重要じゃなかったの?
この件について、韓国人はどう考えているんだ?
韓国の大統領が親日家だからで思考停止してる?米国内の国家分断が報道されているけれど、それ以前から韓国は右派と左派で分断していたね(笑)しかも北と南に分断されている問題も未解決のまま(笑)
- 368
名無し2023/05/08(Mon) 20:50:02(1/1)
このレスは削除されています
次は、ユンの靖国奉納と参拝だね(^^♪
>>337
訪韓してすぐにここで、この行為をセッティングする韓国さん
本当に未来志向意志あるの?
岸田に拝ませた、これを既に勝ったとか言ってるみたいだけど
礼には礼で答えて欲しいものですな
次は韓国大統領の靖国奉納と参拝ですね>>361 嘘つくな、決まりきった言い訳しか。 みっともないから。♡
>>373
クソリプマンもどきは小さい頃から始まってる..."てにをは"や"接続詞"を読み飛ばすせいで「どこにも書いていないことを読む」人たち https://togetter.com/li/1461803次は、朝鮮大統領が靖国参拝して誠意を見せる番だねwボールは朝鮮に有るww
>>380
お前 韓国に近付きたがってるじゃん。
そうでしょ?>>382
何で日本語使うの?>>385 >>384
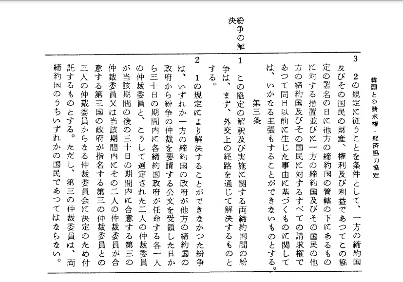
請求権協定で定められた放棄する期間内の請求権です
事件の罪は消えません(死亡を含む刑期満了まで)が被害に対する請求権は消滅しています
祀られているテロ未遂犯の12人はすでに死亡していますが許す許さないは内心の自由です
どちらにいたしましても少なくとも法的には解決済みの問題です
そんなことを言えば韓国が日本に戦犯だ靖国だと思うのも内心の自由ですと言いたかっただけです
しかし請求権は韓国も消滅していますので謝罪と賠償を日本に要求する権利はありません
とうぜん日本にしてみれば個人の罪は東京裁判で刑は満了していますし
各条約で国家としての謝罪と賠償も済んでおりますからね
ですからこちら(日本側)が解決済みと言っているのに韓国のテロ犯などの話で非難したら
韓国に条約違反だとか国際法違反だと言えなくなりますよと言うことを申しておりますが
YouTubehttps://www.youtube.com/watch?v=F4reXehI0Ms
일본총리 부부 현충원 방문영상- 388
名無し2023/05/09(Tue) 20:05:29(1/1)
このレスは削除されています
YouTubehttps://www.youtube.com/watch?v=fgDvuxMNhC4
일본 총리 대통령실 도착 공식 환영식役に立たないのに文句は一人前の韓国人ですね。
日本側は、反日テロリストが祀られているから、顕忠院には行けないと突っぱねる事が、正しい対処方法だったのだ。
日本に顕忠院に行ってほしくば、テロリストをここから追放しなさいとね。
本当に分祀が必要なのは、靖国ではなく顕忠院なのだよ。
靖国に祀らえている人で、朝鮮でテロを行った人物はいないからね。
しかも、日本と韓国は戦闘も戦争自体もしていない。
韓国が靖国に反対する事自体がおかしいのだ。次は、ユンの靖国奉納と参拝だね(^^♪
- 397
名無し2023/05/10(Wed) 23:10:08(1/1)
このレスは削除されています
>>396
それを言ったら慰安婦も徴用工も請求権で解決済みと言えなくなりますよ
韓国からすれば主権侵害ですからね
それに1954年に竹島の漁師殺害抑留という韓国が日本に対して行った主権侵害も
日韓請求権協定により権利を放棄して解決済みとなっています
六 日韓国交正常化を受けて日本は拿捕・抑留された漁民の人権回復・賠償を求めていない一方、韓国は従軍慰安婦問題を竹島問題と絡めて国際社会に訴えている。政府は従軍慰安婦問題を単独で扱うべきではなく、扱うのであれば日本側も漁民の人権回復・賠償を求めるべきだと考えるが、政府の見解如何。
https://www.sangiin.go.jp/japanese/joho1/kousei/syuisyo/183/syuh/s183011.htm
六について
大韓民国との間では、お尋ねの双方の問題についても、財産及び請求権に関する問題の解決並びに経済協力に関する日本国と大韓民国との間の協定(昭和四十年条約第二十七号)第二条1において、「両締約国は、両締約国及びその国民(法人を含む。)の財産、権利及び利益並びに両締約国及びその国民の間の請求権に関する問題が・・・完全かつ最終的に解決されたこととなることを確認」している。
https://www.sangiin.go.jp/japanese/joho1/kousei/syuisyo/183/touh/t183011.htm>>399
あなたが不問にしてないと証明すればいいんじゃないでしょうか
すべての権利を放棄としてるのに新潟日赤だけ除外ですか?
探しましたが見当たりませんよ>>401
いいえ悪魔の証明ではないですよ
すべての権利を放棄した
その中から新潟日赤だけ除外したんですよね
除外した証拠を探してください
あなたは私に権利を放棄してない証拠を出せって言ってるんです
すべて放棄したの中に新潟日赤が入ってないことの証明です
そちらの方が悪魔の証明ですよね>>393
일본인들 중에서는 나와 의견이 일치하는 이들도 있다.
기시다 총리 입장에서는 현충원을 갈 수도 있고, 가지 않을 수도 있었다.
가지 않는 선택지를 골랐다면 아마 당신이 말한 것이 이유가 되었을 것이다.
그리고 현충원에 대한 당신의 지적은 옳다.
혼란스러운 건국사의 영향으로 이것저건 뒤섞여버린 한국이다. 현충원에 안장된 사람들의 유형도 다양하다.>>392 そんなに私が羨ましかったの ?
>>404
리앙쿠르는 일본의 암초라는 것이 나의 의견이다. 만약 그가 그런 주장을 했다면 그것은 그 주제에서 나와는 다른 생각을 가지고 있다는 것이구나.- 407
名無し2023/05/11(Thu) 00:36:00(2/3)
このレスは削除されています
- 408
名無し2023/05/11(Thu) 00:43:44(3/3)
このレスは削除されています
>>392 今回はハンドル名がちゃんとできたみたいだね。
これ以上ハンドル名の文句を言わずにあなたが自ら認証してくれるのを見るとね。
기시다 후미오 현충원 방문
409
ツイートLINEお気に入り
272
63

