미국 FDA 말라리아 예방 약을 코로나 치료제 사용 승인
도널드 트럼프 미국 대통령은 코로나19 대응과 관련해 미국이 말라리아 예방약인 '클로로퀸'을 코로나19 치료 용도로 사용할 수 있도록 승인했다고 밝혔습니다.
트럼프 대통령은 현지 시각 19일 백악관 코로나19 대응 태스크포스 기자회견에서 코로나19 치료를 위해 이 약물을 사용할 수 있도록 "식품의약국, FDA의 승인 절차를 거쳤다"며 이같이 말했습니다.
트럼프 대통령은 FDA는 승인 기간을 몇 달에서 즉시로 단축했다면서 처방전에 따라 그 약을 이용할 수 있게 될 것이라고 설명했습니다.
트럼프 대통령은 또 처방약과 백신 개발과 관련해 FDA에 시대에 뒤떨어진 규제를 없애고 코로나바이러스 해결책을 신속히 처리하도록 지시했다고 덧붙였습니다.
트럼프 대통령은 그것은 의료 전쟁이라며 "우리는 이 전쟁에서 이겨야 한다"고 강조했습니다.
브리핑에 참석한 FDA 스티븐 한 국장은 "코로나바이러스를 퇴치하기 위한 제품들이 안전하고 효과가 있도록 보장할 것"이라고 말했습니다.
https://news.naver.com/main/read.nhn?mode=LSD&mid=sec&sid1=104&oid=052&aid=0001417237
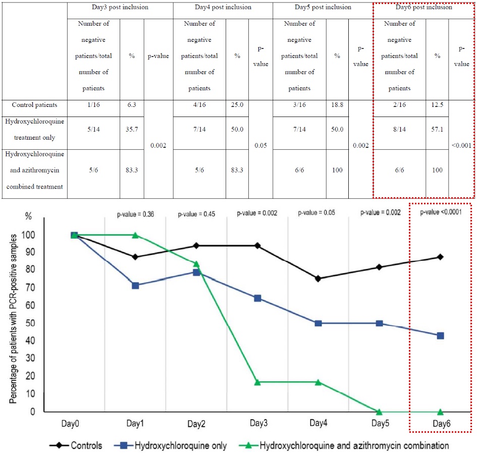
국제 화학 요법 학회(ISC) 공식 학술지인 IJAA(International Journal of Antimicrobial Agents)는 17일(현지시간) 보도자료를 통해 프랑스 연구진이 발표한 '코로나19 치료제로서의 하이드록시클로로퀸과 아지트로마이신(Hydroxychloroquine and azithromycin as a treatment of COVID‐19)' 연구 결과를 공개했다.
4일차에는 각각 25.0%, 50.0%, 83.3%로 나타났고, 5일차에는 18.8%, 50.0%, 100%, 종료점인 6일차에는 12.5%, 57.1%, 100%의 환자에서 PCR 검사상 음성 판정을 보였다.
6일차에 20명 환자가 100% 치료いま韓国人がかろうじて入国できるのって、主要国家の中では米国だけなんだぜw
それもいつ閉められるかわからない状態よw
みんなにお断りされてんの、韓国人はw>>19
それは人間用のクスリ。
熊の子孫でウニの親戚の朝鮮人にも効くといいな。韓国人は日本人に嫉妬してほしいという気持ちの裏返しかww
低脳児だな>>27
>米国の科学者と製薬会社が韓国と協力しようと
>提案が来たんじゃないのwww
????
提案が来たのか?
朝鮮人はソースを貼るという基本さえも理解できないから困るw
議論したいのなら、まずはソースを貼れw- 42
名無し2020/03/20(Fri) 08:27:47(1/1)
このレスは削除されています
>>43
画像貼り忘れた。>>42
トンスルは全てに勝る。>>27
韓国人は自分でファクトを調べることをしないのか?韓国人みたいに簡単に洗脳されるのは簡単だけど、嘘を説明する側は五倍の労力がいる>>1
情報提供、有り難うございます。
このWebサイトは、精神がねじ曲がってしまった兼韓・ネット右翼?が溢れている印象で、日本社会から疎外されているためか、邪魔で鬱陶しい無駄な書込が多いですね。
武漢肺炎に対するヒドロキシクロロキンと併用薬の効果については、日本の国立大学で、2月には既に臨床報告が出ていて、2月27日からの臨床研究も始まっています。
https://jrct.niph.go.jp/latest-detail/jRCTs031190227
3月3日には、腎臓の専門医の集まりである人工透析医学会からも報告が有りました。
3月10日には、別途に、ヒドロキシクロロキン単独での治療効果について、既に臨床報告が公開されています。
http://www.kansensho.or.jp/uploads/files/topics/2019ncov/covid19_casereport_200310_2.pdf#search='%E3%82%AF%E3%83%AD%E3%83%AD%E3%82%AD%E3%83%B3+%E3%82%B3%E3%83%AD%E3%83%8A%E3%82%A6%E3%82%A4%E3%83%AB%E3%82%B9'
しかし、貴殿が提供したグラフからもわかるように、ヒドロキシクロロキン1つの薬剤だけでは効果が少ないのです。そして、単独では、これ以上に効果が期待できる他の薬剤があるのです。
上記の群馬大学医学部では3剤の併用の研究をしていますね。
現在、日本の医療現場では、他にも、いろいろな試行が進行中ですよ。>>20
バカでもアホでもどっちでもいい。
どんな薬を使おうと、早く解決すりゃいい。Sean Ekins박사 트윗
클로로퀸 보다는
한국의 "Pyronaridine (피라맥스)가 더 좋을텐데, 반감기가 길어, 몇 알만으로도 수주동안 효과 볼거야."
https://twitter.com/collabchem/status/1238292253262610434
3/17 Pyramax의 효과에 대해 확신에 찬 Sean Ekins 박사의 요청에
신풍 제약 "우리 연구소장 출장갔는데 ... "
션 박사 "이 시국에 코로나바이러스보다 중요한게 뭐 있어? (피라맥스보다) 다른 효과 있는 약 만들 수 있는가????
미국의 Sean Ekins 박사가 한국의 피라맥스가
일본의 클로로퀸, 아비간 보다 더 효과적이다
더 우수하다고 인정했다wwwww>>52
no japanの韓国としては アビガンに代わるものがあって良かったね
どんどん使ってね
治るかどうかは 俺は知らんがこのニュースって、緊急速報で流すようなニュースじゃないじゃん
ヒーローってやつ、ネット右翼とかいうパヨクの造語を使ってる時点で、出自がお察しできるね
>>54
에킨스 박사 트윗
Sean Ekins@collabchem
So I just found out that in South Korea, Pyronaridine is approved as a combination with Artesunate.. Pyronaridine is very similar to chloroquine. Both are antimalarials, both have antiviral activity vs Ebola. How long before Dr's use compassionate use for patients or prophylactic
2:36 AM - Mar 5, 2020
한국의 말라리아 치료제의 피라맥스는
코로나의 예방약이다
prophylactic
백신이며 치료제다 라고 인정 ㅋㅋ
한국 피라맥스 >일본 아비간もう韓国は、
選挙対策w
為替対策w
株価対策w
で訳が分からなくなってるな。
治癒に向かう薬が出来れば世界的な経済が良化するんだから、韓国にとっても良い事だろ。
今の新型コロナ事態が終息しなければ、経済は悪いまんまだよ。>>49
>>52
また捏造かwww
ショーン博士は「ピラマックスがコロナに効果がある」とは言っていない。
ツイートを読めばすぐわかるのに、お前は文盲か?
https://twitter.com/collabchem/status/1238292253262610434
ナイジェリアではマラリア患者へのクロロキン投与が承認されていないという話題に、どこかの馬鹿朝鮮人
が「私はコロナ19を防ぐためにピラマックス錠剤を飲みます。」とツイートしてきた事に
対して「まぁ頑張ってください。ナイジェリアではクロロキン投与は不可だからピラマックスならいいかもね... 半減期が長く数錠飲めば数週間は大丈夫:)」と
呆れているだけwwww
そもそも当のシンプン製薬が否定している。
http://www.mediasr.co.kr/news/articleView.html?idxno=57262>>57
それも「抗マラリア薬」として「ピロナリジンはクロロキンとよく似ていて、どちらも抗ウイルス活性を
持っている」と言っているだけだアホw
さすが、捏造・歪曲民族だね。>>59
いや、韓国人は英語が得意なはずw>>56
ああ、日本語の理解程度の話なのですね。
それなら誤りです。
ワクチンは、接種することで感染症の「予防」に有効な作用を持つ医薬品のこと。発症を未然に防ぐものです。
治療ではないですよ。
「治療」は、予防ではなく、「発症した病気を治癒させたり、症状を軽快にさせるための行為」です。
そして、治癒は、行為ではなく結果のことです。>>60
너는
바보인가? www
영어를 할수 없는가?wwwww
Ethan Perlstein@eperlste
· Mar 13, 2020
Don’t mind me, I’m just snorting a line of chloroquine, Zn2+ and remdesivir. #COVID
Sean Ekins@collabchem
Good luck with that.. pyronaridine May be better... longer half life.. a few pills and you will be good for weeks :) added benefit of no malaria, no Ebola etc if you are a mouse probably Chagas free too!
11:34 AM - Mar 13, 2020
질문자)
코로나를 예방하기 위해
클로로퀸과 렘시베르를 먹는다
션 박사 )
클로로퀸 보다는 한국의 피라맥스가 더 좋다www
너가 오래동안 생존하려면
한국의 피라맥스를 먹어라 wwwww
한국 피라맥스 승리 > 일본 아비간 패배 wwwwwやべーアスペが2匹もいるぞw
ひでぇ~なぁ。
もしかしたら、
日韓両国のスンバラシイ人2人が共同で
違う世界を創造しているのか?
真っ当な韓国人と変な日本在住者の共同作業 (絶望)で、ピラーマックスとピラニアマックスはどっちがいいんだ?ww
>>1
で、韓国では治療薬の開発らや代替医薬品は無いのかい?
後出しジャンケンジェネリック医薬品だけで儲けているから無理か。開発環境って皆無だもんな。朴李は早いけど(笑)>>70
신풍 제약은 세계 보건 기구(WHO)와 빌게이츠 재단의 비영리 말라리아 의약 벤처 재단(Medicines for Malaria Venture, MMV)이 10년 이상의 협력 통해 개발한 차세대 말라리아 치료제 피라맥스를 개발했다. 현재는 말라리아 치료제 피라맥스 약 및 과립이 세계보건 기구(WHO) 필수 의약품 모델리스트에 등재된 상태다.hydroxychloroquine은 일본에서 마음대로 구입 가능한가?
한국에서는 차단되었다
병원, 약국 구입 금지
결국
전라도와 의사와 약사 놈들 뿐 생존할수 있다
찌져 죽일놈들항바이러스제 `HzVSF` 투여
코로나 20 · 80대 중증 환자 5명 완치
식약처 첫 `치료목적 사용 승인`
"외국 정상까지 나서 우리 제품을 코로나19 치료제로 쓰고 싶다며 임상을 해달라는 요청이 잇따르고 있다."
바이러스억제물질(VSF)에 기초한 항체신약(HzVSF) 개발 업체인 이뮨메드의 김윤원 대표는 25일 매일경제신문과 인터뷰하면서 "동남아시아 2개 국가 최고지도자, 유럽의 보건의료 총책임자가 HzVSF를 코로나19 치료제로 쓰고 싶다며 여러 루트를 통해 자국 내 임상시험을 문의해왔다"면서 "곧 해외에서 코로나19 치료제 임상에 들어갈 예정"이라고 밝혔다.
이뮨메드는 당초 항체신약 후보물질인 HzVSF를 B형간염과 인플루엔자 등의 바이러스 억제제로 개발하기 위해 임상 1상을 마쳤다. 그런데 HzVSF가 코로나19에도 효과를 보이면서 첫 코로나19 치료제가 될 수 있을 것이라는 기대를 모았다. 실제 식품의약품안전처가 코로나19에 대한 '치료 목적 사용 승인'을 내준 국내 약물은 HzVSF가 유일하다. 바이러스에 감염되면 몸살 등 증상이 생기는데 이는 자연 치유를 돕는 VSF가 부족하기 때문이라는 게 회사 측 설명이다. 김 대표는 "쥐에게서 VSF를 처음 발견했고, 이를 인체에서도 찾아내 HzVSF로 이름 붙였다"며 "기존 HzVSF 용량을 1000배가량 키워 중증환자에게 투여하면 코로나19 증상이 개선되는 것을 수차례 확인했다"고 설명했다.
지난달 서울대병원을 시작으로 영남대병원, 충남대병원에서 총 5명의 중증 코로나19 환자에게 HzVSF를 투여했다. 김 대표는 "서울대병원에서 80대와 20대 중증환자에게 HzVSF를 각각 3회, 2회 투여해 완치 결과를 얻었다"며 "중환자실에 입원할 정도로 상태가 심각했지만 HzVSF를 맞고 체내 바이러스 활동이 억제되면서 급성
폐렴 등이 사라졌다"고 말했다.신풍제약 피라맥스
션 에킨스 박사
치료제 신약 개발 성공?
23일 7000원이 현재 15000원 ㅋㅋWHO 인구 소멸 계획
(구충제 ) 알벤다졸
2020년 1월 현재는
항암제를 넘어 비염, 아토피, 당뇨,무좀,코로나에
모두를 치료 가능한 신비의 명약 취급을 받으며 사재기가 심해졌다.
심지어 알벤다졸을 복용했더니 발 뒤꿈치 각질이 제거되었어요 하는 후기를 보면 이게 의약품으로 알고 먹는건지 아니면 이너뷰티 화장품 정도로 취급하는건지 의심이 될 정도. 덕분에 진짜로 회충 구충을 위해 구충제를 복용하고자 하는 사람들마저 구충제를 구하지 못하는 실정이다. #
세상에 만병 통치약은 없다?
약국에 알벤다졸의 재고를 풀지 않는 것은 누군가들의 말처럼 WHO나 제약 회사들의 로비로 인해 서민들에게 값싼 만병 통치약의 공급을 막아 인구조절을 하려는 것이다
일본에 알벤다졸 있으면 보내줘라
100배 보상
일본도 품절인가?インフルエンザの次ぎは新型コロナウイルス
米国さんは大変だな
戦争を商売している米国に対しキリスト様からの天罰신풍제약 피라맥스, 코로나19 억제효과 입증
기사승인 2020.04.03 11:31:40
- 코로나 치료제 사용 허가된 클로로퀸과 비교 시험결과 동등이상 효과
[의학 신문·일간보사=김영주 기자]신풍제약(대표 유제만)은 자사 개발 항말라리아제 피라맥스(성분명: 피로나리딘 인산염, 알테수네이트)의 코로나-19 바이러스 억제효과를 확인했다고 3일 밝혔다.
현재 미FDA에서 코로나 치료제로 사용이 허가된 클로로퀸과 치료제로 연구되고 있는 로피나비르(칼레트라 성분)를 대조군으로 감염세포 시험을 진행한 결과 동등이상의 효과를 확인했다는 것.
신풍제약 관계자는 “시험에서 피라맥스의 주성분인 피로나리딘 인산염과 알테슈네이트 각각이 코로나-19 바이러스에 대해 억제 효과를 나타냈다”며, “특히 두 성분 병용 시 24 시간 후 바이러스 역가 억제율 (99% 이상)과 48시간까지 지속력이 향상되는 한편, 세포독성은 감소되는 결과도 확인했다”고 밝혔다.
이 관계자는 이어 “이 결과는 대조군으로 쓰인 클로로퀸과 로피나비르(칼레트라 성분) 대비 동등 이상의 효과를 나타냈다는 의미”라고 부연하고, “고려대 의대 우수 연구진의 도움으로 시험조건을 최적화해 해당 세포주에서 단독 및 병용 효과를 검증할 수 있었다”고 밝혔다.
피라맥스의 주성분 중 하나인 피로나리딘은 현재
다른 성분인 알테수네이트도 사람의 거대세포바이러스(HCMV) 등에서의 항바이러스 효능이 알려져 있으며, 소규모 임상시험에 단독, 혹은 클로로퀸 유도체와 병용하여 적용된 경험이 있다.
피라맥스는 코로나-19 바이러스에 대한 in vitro 억제 효과가 확인됨에 따라 임상시험과 임상의들의 자율적 판단에 따라 코로나-19 환자에서 허가 외 사용에도 대폭 진전이 예상되며, 신풍제약도 임상례에서의 피라맥스 효과 검증에 대해 큰 관심을 가지고 있다. 현재 정부가 사태의 심각성을 인지하고 빠른 대응을 지원하고 있어 임상 효과가 곧 검증될 수 있을지 관심이 집중된다.>>79
ふ~ん?
韓国では、その薬を使えばよいのではないか?
薬が見つかって 良かったねw
日本はアビガンを使うよ。>>79
これはまだ試験管内での試験で生体での試験ではないようだ(笑)記述が持ってまわった言い方をしていて、事実関係を曖昧にするいつもの韓国の報道姿勢であると思う(笑)検討を祈る(笑)[하이드록시클로로퀸 처방] 700명의 코로나바이러스 환자 중 669명 치료 성공, 99.9%
2020. 4. 4.
In a new video post, Dr. Vladimir Zelenko provides important update regarding the treatment regimen. He’s also sounded warning about shortage of the Hydroxychloroquine Sulfate, Zinc and Z-Pak. He’s asking people to donate drugs (not money) to give to patients in New York. To date, Dr. Zelenko has treated 350 COVID-19 patients using, Hydroxychloroquine 200mg 2x daily, Azithromycin 500mg 1x daily, Zinc Sulfate 220mg 1x daily.
새로운 비디오 포스트에서, Vladimir Zelenko 박사는 치료 요법에 관한 중요한 업데이트를 제공
그는 또한 Hydroxychloroquine Sulfate, Zinc 및 Z-Pak의 재고부족에 대해 경고했다. 그는 사람들에게 뉴욕의 환자들에게 약 (돈이 아닌)을 기증하도록 요청하고 있습니다. 현재, Zelenko 박사는 하루에 Hydroxychloroquine 200mg 2번, 매일 Azithromycin 500mg 1번, 황산아연 220mg 1번 사용하여 350 명의 COVID-19 환자를 치료했습니다
https://techstartups.com/2020/03/31/dr-vladimir-zelenko-provides-important-update-three-drug-regimen-hydroxychloroquine-sulfate-zinc-azithromycin-z-pak-used-effectively-treat-699-coronavirus-patients-100-su/정정)
블라디미르 젤렌코 박사는 자신이 100% 성공한 699명의 코로나바이러스 환자를 치료
Dr. Vladimir Zelenko provides important update on three drug regimen of Hydroxychloroquine Sulfate, Zinc and Azithromycin (Z-Pak) he used to effectively treat 699 coronavirus patients with 100% success [UPDATE 3]
블라디미르 젤렌코 박사는 자신이 100% 성공한 699명의 코로나바이러스 환자를 효과적으로 치료하기 위해 사용했던 하이드록시클로로퀸 황산염, 황산 아연, 아지트로마이신(Z-Pak)의 세 가지 약물 요법에 대한 중요한 최신 정보를 제공한다.せめて第3相治験まで行ってから誇れよな!。
日本では
アビガン
イベルメクチンに続いて
アクテムラが治験に入る。関節リウマチの治療薬で中外製薬が開発、ロシュ社が販売している薬だよ。(*´-`)>>84
그러니까
완치율? 성공율은?
50%? wwwPatients treated with three drug regimen
1- hydroxychloroquine 200mg twice a day for 5 days
2- azithromycin 500mg once a day for five days
3- zinc sulfate 220mg once a day for five days
Here’s Dr. Zelenko’s advice: TREAT AS EARLY AND AS AGGRESSIVELY AS POSSIBLE IN THE OUTPATIENT SETTING
세 가지 약물 요법으로 치료받은 환자
1- 하이드록시클로로퀸 200mg 5일 동안 하루 2회 (하루 400mg)
2- 아지트로마이신 500mg 5일동안 하루에 한 번 (하루 500mg)
3- 황산 아연 220mg 5일 동안 하루에 한 번시진핑이 지금 아무도 모르게 몰래 복용하고 있는 약 | 신세기TV
하이드록시클로로퀸 www
트럼프와 시진핑이 코로나 예방으로 먹는 하이드록시클로로퀸
한국은 성능이 더 좋은 피라맥스
YouTubehttps://youtu.be/s3n3wAIdAWE
긴급 속보) 미국 FDA 말라리아 예방 약을 코로나 치료제 사용 승인
87
ツイートLINEお気に入り
58
27
