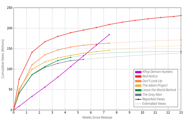
【ソウル聯合ニュース】米動画配信大手ネットフリックスの人気アニメーション映画「KPOPガールズ! デーモン・ハンターズ」が、ネットフリックスの全部門の作品のうち初めて累計視聴数3億ビュー突破の大記録を打ち立てたことが17日、分かった。
ネットフリックスの公式ガイドサイト「TUDUM」によると、同作の視聴時間を作品の総時間で割った「視聴数」は累計3億1420万ビューを記録した。これまでネットフリックで公開された全作品のうち最も多い。
2週間前に累計視聴数歴代トップに立った同作は視聴数を伸ばし続け、2位の韓国ドラマ「イカゲーム」シーズン1(累計2億6520万ビュー)との差がさらに広がった。
ネットフリックスは公開から91日間の累計視聴数を比較し、最も多く見られた作品を発表している。
「KPOPガールズ! デーモン・ハンターズ」は6月20日の公開から13週連続で映画英語部門のトップ10にランクインし、先週(9月8~14日)も視聴数2260万ビューを記録し、週間1位の座を維持した。国別では米国、英国、スペイン、アルゼンチン、エジプト、マレーシア、カタールなど39カ国で1位を記録した。
米ビルボードのメインチャート1位を記録した同作のオリジナル・サウンドトラック(OST)の人気の高さ加え、韓国的な要素をちりばめたシーンや愉快なせりふが視聴者を引きつけ、複数回の視聴につながった。
同じ期間のテレビ非英語部門では少女時代のユナ、俳優イ・チェミン主演の韓国ドラマ「暴君のシェフ」が1位(視聴数680万ビュー)を記録した。視聴者数過去最高を記録したアメリカNYのパレード
Koreanの主張が正しければKPOPデーモンハンターが全ての日本アニメを圧倒し世界中で人気なはずなのに、このパレードに参加してないの?
ケデハンに全く興味がないので1度も視聴したことがなくパレードのラインナップをみても参加しているのか分からなかった
ところでどこの異世界で人気なの??笑
ニューヨーク市Macy’s Thanksgiving Day Parade ラインナップ
https://www.macys.com/s/parade/lineup/>>53
嬉しそうだけど、日本では全く流行ってないし誰も観てないよ?
ていうか、日本では韓国の気配がするものは一切売れなくなってきてる
韓国=ゴリ押し不愉快、韓国=身勝手な理由でハンマーで殴ってくる
韓国=世界中で「韓国は日本と同じような国」と言いふらしてる
韓国=おばあさんのスカートの中を盗撮する
韓国=大腸菌、韓国=科学知識ゼロの土人国
韓国=ロイヤリティーの概念が無い未開国、韓国=誰でも詐欺師
っていうのが日本中に知れ渡ってしまったから
日本で人気が無くても、世界で流行ってるなら韓国人的にはOKなんでしょ?
ウェブトゥーンみたいに世界で大流行したらいいですね!>>53
ついでに言うと
Xでフェミ活動してたクソみたいなやつらが韓国アカウントだったことも、
韓国の印象をものすごく悪くしています
そもそも日本の女性たちは日本の男性に対して悪感情が無かったので
Xのフェミアカウントたちの男叩きツイートは不愉快でしかなかった
その不愉快なやつらが韓国アカウントだとバレたことで
「あーやっぱりね、だって現実的に私らの周りにあんな人たちはいなかったもの」
「さすが韓国人だよね、気持ち悪いことするよね」
ってなったんですよ
韓国=気持ち悪い工作活動する人たち、って認識が広まってます
デーモンハンターは日本では一生売れない
世界で頑張ってください한국의 통계는 믿을 수 없다.
그리고 나는 저것을 한번도 안 봤고 관심도 없기 떄문에 감상평을 내릴 수 없다- 57
名無し2025/12/05(Fri) 12:02:05(2/2)
このレスは削除されています
>>53
なにを羨ましく思うのか判らないが、それでお前の腹が膨れるならそれでいいよ。
YouTubehttps://youtu.be/pRKINsM5Wrg
YouTubehttps://youtu.be/9PO_-KTPz8g
https://youtube.com/shorts/hqVZfDRUWyY
극장에 개봉된 kpop demon hunters
반응을 보세요.
일본은 왜 이런 컨텐츠를 만들 수 없는거야?>>59
https://youtube.com/shorts/hqVZfDRUWyY
굉장하다.
일본 넷플릭스는 여전히 '사랑의 불시착'이 상위권일까?
나온지 5년도 더 된 드라마이지만 왜 그렇게 좋아하는거야?>>59
こいつこれの制作元がソニーって知らないんじゃね。ww>>65
PUFFYはアイドル売りしてなかったし、人気が落ちた後で日本のメディアも取り上げてなかったから?
カートゥーンもそんな見ないし相性悪かったかも>>59
イクサガミ(Last Samurai Standing)はNetflixで世界ランキング1位だったぞ
歴史が無い韓国には作れないねてかさ、仕事しようよ
なんで働かないという反日行為を繰り返すの?だからさぁ
朝鮮コンテンツが売れるというなら株を買って見せろよ
誰一人として株を買わないのは何なん?
必ず儲かると言ってるのに自分は買わないってアホか
とりあえず株のスクショを貼れ
それが一次ソースだろ
作られ捏造されたソースなんぞ貼るな>>62
そうだよ?Netflixって日本の加入者って人口の一割切るくらい。
で、その中の全員が当然見る訳もないから、Netflixで一位って言ってもそんな知ってる人おらんしマイナーやぞ例えば民放で何のドラマやっているかって聞くのと大差ないぞ?
多分タイトル聞いてギリギリ聞いた事あるレベルでも5%くらいやろな、Netflixの一位朝鮮人関連コンテンツって得るもんないからな。
アニメ「メダリスト」の方が海外からも子供に見せるべきアニメってなってるのは、朝鮮人には全くない感覚だよ。
朝鮮人は永遠に理解できないだろう。朝鮮人「イジョンフは韓国のイチロー!」
どうだった?
アメリカメディア「大谷は高校生レベル!」
どうなった?
朝鮮人「キムヘソンは大谷を超える!」
アメリカメディア「.......」日本でやったKの何かがガラガラだったし...単純に「もう飽きられた」じゃん?
工作をしておいて「8億回再生nida!!誇らしいnida!!」は馬鹿すぎて笑える
韓国人の人生は無駄だ
再生回数が多いのはバガだからだ>>77
嬉しそうwwwwww>>80
전 세계적으로 흥행 몰이 중인 넷플릭스 애니메이션 영화 ‘케이팝 데몬 헌터스(이하 ‘케데헌’)’를 제작한 미국의 소니 픽처스의 수익이 2000만달러(약 278억원)에 그친 것으로 드러났다. 전체 제작비의 5분의 1 수준으로 속편과 스핀오프, 사운드트랙 등 나머지 수익은 모두 공동 제작사이자 독점 유통을 맡은 넷플릭스에 돌아가게 된다. ‘케데헌’이 현재 영화와 음악·각종 굿즈 등으로 현재 10억달러(약 1조3900억원) 이상 가치를 가진 작품으로 평가받는 것을 감안하면, ‘재주는 소니가 부리고, 실익은 모두 넷플릭스가 먹는’ 셈이다.혹시 일본인 가수중에서 thanks giving 공연한 사람이 있어?
궁금해서 질문なるほど!
だから支那人が韓国に観光に行くんだねwww
韓国人がホルホルするたびに100匹倍々に増えるよ(^○^)>>83
Www 일본의 총리가 부럽다.일본인의 반박하는 능력은 전세계 최고레벨이네.w
생각도 못했다 w英紙ガーディアン「K-映画・K-POPに危機」…構造的な停滞、成功神話の限界指摘
韓国発の映画やK-POPなど世界的な影響力を持つ「Kコンテンツ」が、今、深刻な危機に直面していると、英紙ガーディアンが12月28日に報じた。
同紙は「韓流の先頭に立ってきた映画産業とK-POP業界が、構造的な低迷に陥っている」とし、「もはや一時的な調整ではなく、本質的な課題に直面している」と指摘した。
特に韓国映画産業については、「かつて年40本以上の作品を配給していた主要配給会社が、今年はわずか20本程度にまで落ち込んだ」と報道。来年にはさらに悪化する可能性もあると警鐘を鳴らした。
韓国映画専門家であるジェイソン・ベシャベイス氏(漢陽大学教授)は「これは単なる景気の波ではなく、構造的な弱体化だ」と分析。若手監督の育成や低予算映画の制作が減少しており、有能な人材はより安定した制作環境を求めてストリーミングプラットフォームに流れていると述べた。
映画館側はIMAXやドルビーなどプレミアムフォーマットへの投資を進めているが、「コンテンツ供給が安定しなければ、ハード面の強化だけでは観客の回帰は期待できない」と業界関係者も懸念を示している。
K-POPについても、近年の実物アルバム販売が低下していることが注目された。ガーディアンは「K-POPアルバムの販売は2024年、前年比で19.5%減少し、過去10年で初めて減少に転じた」と指摘。そのため、主要事務所は収益源をグローバルツアーにシフトし、コアファン層への依存を強めているという。
米アリゾナ州立大学のチョン・アルム教授は「ファンのニーズに応えることばかりに集中する現在の戦略は、アイドルの選抜・育成・マーケティングの方法にも影響を与えている。こうしたアプローチで第二のBTSやBLACKPINKを育てられるのかは疑問」と述べた。
記事は最後に「Kコンテンツ産業は今後も一定の収益を生み出すだろうが、世界の心を再び掴むには、金銭的な成功に満足していてはならない」と警鐘を鳴らした。
https://www.afpbb.com/articles/-/3616472?cx_part=top_category&cx_position=3
さすがK-G8『鬼滅の刃』は受賞ならず アニメーション作品賞は『KPOPガールズ! デーモン・ハンターズ』【第83回ゴールデン・グローブ賞】
https://news.yahoo.co.jp/articles/f95d3c74c07d75f86c219209c01416fffa720490
現地時間11日、第83回ゴールデン・グローブ賞が発表され、アニメーション作品賞はNetflix映画『KPOPガールズ! デーモン・ハンターズ』が受賞した。同部門には日本から『劇場版「鬼滅の刃」無限城編 第一章 猗窩座再来』がノミネートされていたが、惜しくも受賞を逃した。>>91
落ち着けよ。
亜酸化窒素でも吸ってこい。>>1 うん、、心底どうでもいい。。
>>95
何回教えてもムダだよ、韓国人は文盲だからソニー作品になぜか無関係の朝鮮人がホルホルしてるが笑える。
>>94
기획, 총괄, 제작, 성우까지 전부 한국계이지만. 애니메이션의 배경도 서울과 한국문화>>89
반대로 말하면 타작품은 쓸데없이 분량을 늘려서 다부작으로 만들어서 수상 기회를 늘려도 단번에 탈 수 없는 상을 단편만으로 수상했군요. 귀멸의 칼날도 다음의 영화에서는 상을 타길 바랍니다 (웃음)>>100
大成功なんだね、おめでとう
韓国これで大儲けだね
有効求人倍率0.28から脱却できるね!
良かった良かった就職頑張ってね
[韓流]「KPOPガールズ! 」が大記録 ネトフリ史上初の累計視聴数3億ビュー突破
101
ツイートLINEお気に入り
61
18




