<新たな証拠>米軍の戦時中資料<竹島>

50

    • 1名無し2017/02/22(Wed) 23:45:33ID:A2NzcxOTI(1/1)NG報告

       第二次大戦中、米国が竹島(島根県隠岐の島町)について「Take」と表記した地図が見つかり、島根県に寄託されていたことが22日、分かった。当時、日本の統治下にあった朝鮮半島について、この地図では「鬱陵=Utsuryo」など元の表記を日本語読みした地名の記載が大半。竹島の呼称が一般化していたことを示す資料となりそうだ。
       島根県竹島対策室によると、地図は、米国軍が戦時中の1945(昭和20)年5月に制作した布製の航空図「エスケープマップ(脱出地図)」(83センチ×78センチ)。日本侵攻に参加するパイロットらが遭難したり撃墜されたりした際に使用するよう携帯させた。
       400万分の1の縮尺で、一方の面には日本と南シナ海、もう一方の面には東シナ海が描かれ、季節ごとの風向きが異なる色で図示されている。竹島問題の研究者が大阪府内の古書店で見つけ、島根県に寄託した。
       地図では鬱陵島や済州島などは「Utsuryo」「Saishu」などと表記されているが、竹島は「Take」と記載。竹島をめぐり、韓国政府は日本が編入する1905(明治38)年より前から「独島」と呼ばれていたと主張するが、少なくとも1945年当時の米国側に、この島は「独島」だという認識はなかったとみられる。
       島根県竹島問題研究顧問の下條正男・拓殖大国際学部教授(日本史)は「『独島』という呼称が、当時の米国には認識されていなかったということ。こうした事実の積み重ねが、竹島が日本固有の領土であることの立証につながる」と話している。

    • 2名無し2017/02/23(Thu) 00:25:12ID:MzNTU0MDE(1/4)NG報告

      新たな証拠が提示された場合、それが自らの主張に副わなければ反証が必要。
      日本はそうやって韓国の主張をことごとく潰してきたよね。

      さあ、今回は韓国のターンだ。頑張ってくれたまえ。

    • 3famicomおじさん◆dFWti3p/..2017/02/23(Thu) 00:39:35ID:M2MjkzNTU(1/1)NG報告
    • 4名無し2017/02/23(Thu) 01:02:07ID:U2MjgwMzc(1/1)NG報告

      まぁ「地図」だから、証拠能力は低い&ほとんど無い。
      「米軍の認識」がどんなものだったかを示す傍証にすぎず、そもそも米軍に領土処分の権限はない。

      竹島の領土権はサンフランシスコ平和条約によって決まりました。

    • 5名無し2017/02/23(Thu) 01:14:13ID:U5ODk2MTI(1/1)NG報告

      土民である朝鮮人が海にまともに出れないだろ

      日本が鉄船作って遠洋でてる時代に朝鮮では遠洋に出れない木船

      日本海の荒波に沈む程度の小船で風任せで海図も書けないレベル

    • 6名無し2017/02/23(Thu) 01:36:50ID:U5ODM5MQ=(1/3)NG報告

      >>1

      일본아 우기지 마라 독도는 한국 땅이다 - 주한미군 2사단 장병-

    • 7名無し2017/02/23(Thu) 01:44:15ID:U5ODM5MQ=(2/3)NG報告

      >>1

      1952년 일본 외무성 독도를 한국땅으로 인정

    • 8名無し2017/02/23(Thu) 01:46:57ID:U5ODM5MQ=(3/3)NG報告

      >>1

      1946년 연합국 최고사령부 지도 독도를 한국영토로 명기

    • 9名無し2017/02/23(Thu) 02:02:27ID:MzNTU0MDE(2/4)NG報告

      >>8
      機能的文盲さんかな?論点を理解してる?

      >竹島をめぐり、韓国政府は日本が編入する1905(明治38)年より前から
      >「独島」と呼ばれていたと主張するが、少なくとも1945年当時の米国側に、
      >この島は「独島」だという認識はなかったとみられる。

      これの反証として必要なのは、1945年以前の史料で「独島」と書かれている地図なんだが。

    • 10名無し2017/02/23(Thu) 02:11:52ID:MzNzA4NzI(1/7)NG報告

      >>8
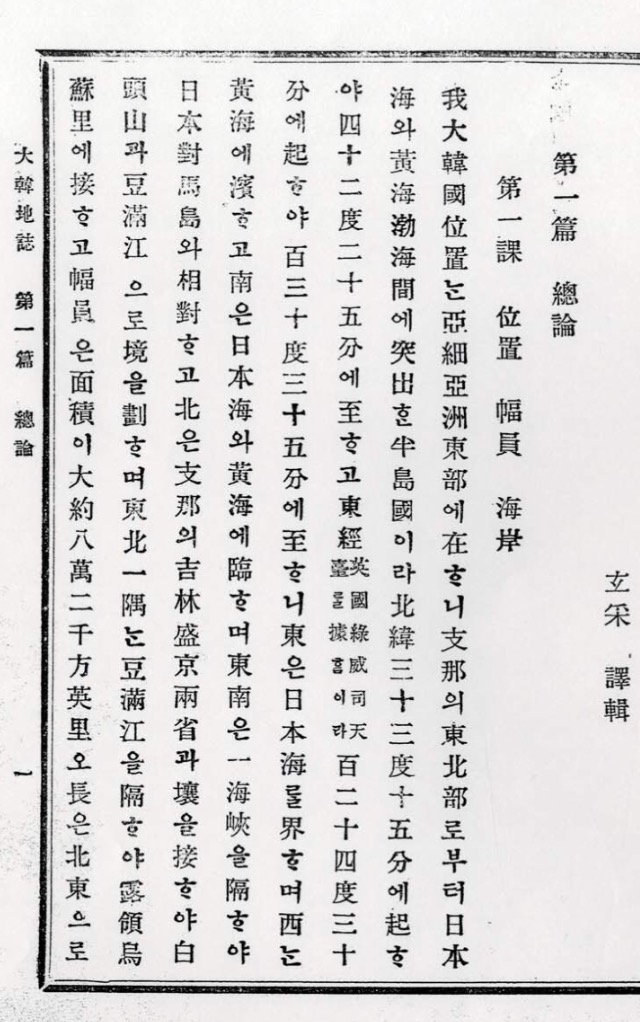
      1946년 타케시마가 잠시 조선쪽으로 갔던 이유

    • 11名無し2017/02/23(Thu) 02:16:00ID:MzNzA4NzI(2/7)NG報告

      >>7
      한국이 증거로 제시하는 일본측의 지도 또한 어선조업허가 구역에 관한 내용으로
      중의원회의에서 강력한 항의로 재편입된 구역.

    • 12名無し2017/02/23(Thu) 02:19:10ID:MzNzA4NzI(3/7)NG報告

      조선에 최초로 일본의 다케시마의 편입이 알려지게 된 계기가 된 해군 관보(官保)

    • 13名無し2017/02/23(Thu) 02:22:01ID:MzNzA4NzI(4/7)NG報告

      독도 분쟁 당시 미국의 판단 = 이승만 라인은 불법

    • 14名無し2017/02/23(Thu) 02:24:30ID:MzNzA4NzI(5/7)NG報告

      양심 팔아먹은 모 일본인 교수가 줄기차게 주장하는 태정관 지령의 진실.

    • 15名無し2017/02/23(Thu) 02:27:21ID:MzNzA4NzI(6/7)NG報告

      오히려 태정관 문서는 울릉도가 조선의 해상 한계였음을 인정하는 증거.

    • 16名無し2017/02/23(Thu) 02:32:37ID:MzNzA4NzI(7/7)NG報告

      >>7
      동북아역사재단의 의도적인 증거 조작

    • 17名無し2017/02/23(Thu) 02:57:17ID:MyMTc0OTE(1/1)NG報告

      韓国人が韓国人を ( ̄▽ ̄;)

    • 18ミミズク岩で逢おう◆8femuqvbsw2017/02/23(Thu) 03:23:43ID:AzNTQxMzM(1/1)NG報告

      >>4
      そう、古地図持ち出してきて競っても無意味なのよね。
      韓国は古地図を見つけてくるんじゃなくてサンフランシスコ講和条約を覆せる、国際法に通じる理論を組まなきゃ意味がないのよ?

      まぁ、それが不可能だから古地図探しに躍起なのでしょうけど…

    • 19名無し2017/02/23(Thu) 03:29:29ID:U0NjQwODc(1/2)NG報告

      >>8
      連合軍最高司令部訓令(SCAPIN)第677号  の地図のようだが
      SCAPIN677は下記のような明記がある。

      6 この指令中の条項は何れも、ポツダム宣言の第8条にある小島嶼の最終的決定に関する連合国側の政策を示すものと解釈してはならない。


      また、SCAPIN677を最終決定と見なすのであれば、
      SCAPIN677で日本の範囲から除かれる地域として明記された、全ての地域が日本領でないということになるわけだが、そうではない。

    • 20名無し2017/02/23(Thu) 03:42:37ID:U0NjQwODc(2/2)NG報告

      >>8

       加えて言うなら五次草案段階までの一時的な話であり、六次草案以降は修正されていて、韓国領扱いはされていない。
       ラスク書簡もあるし、SF条約が最終決定でもある。

    • 21名無し2017/02/23(Thu) 04:38:42ID:U1NTk3Nzg(1/1)NG報告

      イルボンの時刻表に独島が載っていないニダ!
      だから、独島はウリナラの領土ニダ!

    • 22うん?◆KyUpmG9.1.2017/02/23(Thu) 06:13:03ID:M5ODk1NTc(1/1)NG報告

      つまり、竹島は日本の領土で確定。

    • 23名無し2017/02/23(Thu) 07:03:15ID:Q1MTYyNTI(1/1)NG報告

      昭和28年の竹島。軍施設なんてないからね。韓国は歴史を捻じ曲げたらダメだよ。
      日本政府は、竹島強奪で韓国に殺された被害者への謝罪と賠償を要求するべき。

    • 24╰U╯2017/02/23(Thu) 07:12:37ID:k4OTQ3Mjk(1/1)NG報告

      韓国人教えて! 竹島は本当に肉眼で見えるのか?(キャノンやニコンの超望遠レンズを使わないで見えるのか?)

    • 25名無し2017/02/23(Thu) 10:17:39ID:Q4NjYzODY(1/3)NG報告

      戦争で奪い返せば良い…ちょうど韓国も日本とやりたがってるから…

    • 26名無し2017/02/23(Thu) 10:22:52ID:MzNTU0MDE(3/4)NG報告

      >>25
      君が戦いに行くのならともかく、馬鹿げたことを無責任に言うものではない。

    • 27미군2017/02/23(Thu) 10:22:59ID:g4ODc1MjI(1/1)NG報告

      take it 의 take 겠지

    • 28名無し2017/02/23(Thu) 10:28:21ID:Q4NjYzODY(2/3)NG報告

      >>26
      馬鹿げた事だと?実際に武力で奪われたのに…
      お花畑は辞めてください!
      現実を見てください!
      そしてこの問題を次の担い手に残さないでください!
      外交には限界がある事を悟ってください!
      日本の領土は日本の主権で守ってください!

    • 29名無し2017/02/23(Thu) 10:29:18ID:Q4NjYzODY(3/3)NG報告

      >>27
      やるか…

    • 30名無し2017/02/23(Thu) 10:43:55ID:MzNTU0MDE(4/4)NG報告

      >>28
      ハーグに持っていって話し合いで解決するのが上策。
      韓国の破綻を待って借金の形に返還させるのが中策。
      武力を使って力ずくで取り返すのは下策。

      そんな当たり前の事も理解できないのか?

    • 31名無し2017/02/23(Thu) 11:00:24ID:M1ODE4NTI(1/1)NG報告

      >>30
      ごもっとも。
      ただ相手が朝鮮人だから国際法も守れないし
      本当にどうしたらいいんだろう(・_・;

    • 32名無し2017/02/23(Thu) 11:22:35ID:c4MjQwODM(1/1)NG報告

      >>28
      戦争?
      今、日本が武力行使したら全世界から非難されるね。
      自衛権発動だとしても緊急性の要件を満たさないんだ。
      外交には限界があるけど、戦争にはもっと限界がある。

      下策中の下策。

    • 33名無し2017/02/23(Thu) 11:30:05ID:ExNTUxNzg(1/1)NG報告

      戦争ってのは武力を伴った外交の一種
      戦争をする場合、大多数の国から支持を取り付ける必要がある
      今現在、竹島を武力奪取しても支持は得られないだろう

      あんな島には価値はないから放置で正解。

    • 34ミミズク岩で逢おう◆8femuqvbsw2017/02/23(Thu) 11:36:26ID:MyNTQ2ODU(1/1)NG報告

      一番いいのがハーグで勝ってからの警察力での強制執行だろうね。
      もちろんライブ中継で

    • 35名無し2017/02/23(Thu) 12:37:07ID:g2MDg2MzQ(1/1)NG報告

      >>1の記事はただ単に、
      大戦中アメリカがその島をどう言っていたか
      その事実だけであって
      竹島が日本領土という証拠にはならないと思うけどさ。
      確実に言えることは
      サンフランシスコ条約で日本の領土が確定。
      そして、その前もアメリカは韓国の領土とは、認めてはいなかった。
      こういうことだよね。

    • 36makobee 2017/02/23(Thu) 12:55:18ID:AwNjg0MTU(1/1)NG報告

      >>17
       韓国人が、日本の領有に有利な発言する場合があります。ただ、それが親日からくるものではなく、実効支配という確固たる状況にある現状において、歴史的資料において、自国の不利にしかならない論争によって、誤って「国際司法裁判所にていそしたら勝てる!」という世論形成になってしまう事を恐れてます。
       彼等は、冷静であるが故に一番手強い人たちですが、一方で理性的に話が出来る人なので、その点を評価してます。
       無条件愛国酒に酔っ払って、竹島の論争に参加する馬鹿な韓国人の行動に一番失望しているのは、冷静な韓国人だったりします。

    • 37名無し2017/02/23(Thu) 14:58:59ID:Y5MDY4OTU(1/1)NG報告

      領土問題は、両国が認識しつつ棚上げが常套手段なんだけど、韓国が煽ってくるので、日本は対応せざるを得ない。韓国人は、外交センスもなければ戦略もない馬鹿なんだよ。

    • 38名無し2017/02/23(Thu) 16:01:39ID:MyNTM3OTY(1/1)NG報告

      あと、明らかに日本海って書いてるな(笑)

    • 39 名無し 2017/02/23(Thu) 17:13:42ID:A5MTAyMDA(1/3)NG報告

      >>7
      漢字ハングル混じり文を、現代韓国人が読めるとは思わないけれど、日本の影響を受ける以前の、大韓帝国の地理教科書ね。
      大雑把に訳すと、大韓帝国の領域を示す緯度経度と、黄海と「日本海」に挟まれた、半島地形が国土だとさwww

    • 40名無し2017/02/23(Thu) 17:20:31ID:MxMjU3OTY(1/1)NG報告

      これだけ見ても、韓国側に勝機はないな。
      竹島−独島公開討論会でもやってくれないかな〜。
      日韓交流イベントとして。

    • 41 名無し 2017/02/23(Thu) 17:39:47ID:A5MTAyMDA(2/3)NG報告

      >>40
      でもね、威勢ばかり良いお馬鹿さんが、日本がハングルを復活させたと発言して、>>39を否定してしまう事があるんだよ。
      日本がハングルを復活させたのならば、漢字ハングル混じり文を採用している教科書は、日本の影響有りだとなるからねぇ…。

    • 42名無し2017/02/23(Thu) 18:18:35ID:k3OTc2MzA(1/1)NG報告

      >>41
      昔は韓国人も漢字が読めたんだよ。

    • 43名無し2017/02/23(Thu) 20:14:13ID:M4MTU3MjY(1/1)NG報告

      >>31
      朝鮮人なんぞ 生かさず殺さず虐めてやれば良いんだよ
      俺には麻生が その様に見えるww

    • 44名無し2017/02/23(Thu) 20:22:13ID:MwMzQ2ODU(1/1)NG報告

      口で言っても解らないなら殴って取るしかねぇ~だろ?

      裁判、裁判と言ってなにを言っても解らない韓国に対しては武力行使も必要です!
      だいたい武力行使(戦争)と言っても韓国海軍と空軍力じゃ戦争にならんよ!

      絶対的な戦力差と最新鋭の艦船と戦闘機で挑発してみてください…
      泣きながら懇願してくるよ韓国は…

    • 45 名無し 2017/02/23(Thu) 21:41:20ID:U4MjE2MTg(1/1)NG報告

      >>42
      ハングルは?

    • 46名無し2017/02/23(Thu) 22:14:32ID:kwNzc1MTA(1/1)NG報告

      아무리 우겨봐야 한국영토 뺏을수 있으면 뺏아 보던가

    • 47名無し2017/02/24(Fri) 03:51:46ID:U2NTY0ODA(1/1)NG報告

      本気で竹島を取り戻すとしたなら武力以外では有り得ないだろ。韓国人は自分に都合が悪けりゃ証拠も見えなくなるし、条約も理解できない。一歩歩けば論破されたことすら忘れちまう馬鹿民族だ。話し合いなんてなりもしない。

      それにこちとら国民を殺されて拐われて身代金払わされて、朝鮮人犯罪者を釈放させられ野放しにしろとまで要求されてんだ。日本が特殊な条件下にあるってだけで、他なら戦争になってるわ。

    • 48 名無し 2017/02/24(Fri) 19:11:10ID:I1Mzc2MDA(3/3)NG報告

      >>46
      韓国の政治家が、国内の政争に利用して、馬鹿みたいに騒がなければ、本当に一部の日本人しか、興味を持っていなかったのにね。
      大人しく静かにしていさえすれば、君たちが実効支配している気になれる程度には、我が国は有耶無耶にしていたのだよwww

    • 49名無し2017/02/24(Fri) 20:47:03ID:E2MjE0ODg(1/2)NG報告

      >>45
      日本統治前、ハングルは使われてはいたが普及していなかった。
      統治後、学校で教えてハングルを広く普及させた。

    • 50名無し2017/02/24(Fri) 20:53:04ID:E2MjE0ODg(2/2)NG報告

      韓国人「日帝時代の小学校の教科書(参考書)をアップする」→「なぜハングルを教えてるのか?」
      http://blog.livedoor.jp/kaikaihanno/archives/33319174.html
      16. 韓国人
      しかしどうして日帝時代の教科書にハングルがあるんだ?
      高校の時、国史の時間で、日帝が民族の精気をまっさつするためにハングルを使えなくしたと学んだが
      何が正しいのか…
      18. 韓国人
      >>16
      つまり、ハングルを教えて朝鮮人の文盲をなくそうとしたという、日本の主張が事実だということか?
      20. 韓国人
      >>19
      無知でこそ、さらに簡単にこき使うことができそうだが?
      22. 韓国人
      >>20
      確かに、こき使うために教えるというのはおかしな論理だ
      仮にそのためだけなら、日本語を教えればいい
      なぜハングルまで教えたのか

      75. 韓国人
      朝鮮でも教えなかったハングル
      日本はそれを朝鮮語という学問にし、日本人言語学教授が近代学問に仕上げ大学で教えた
      無条件愛国主義者は信じられないだろうが、これは事実だ
      77. 韓国人
      >>75
      俺はエンジョイジャパンの頃、国史教科書編纂委員会長が、日本のやつらに論破されたのを見て以降、歴史教科書を信じていない

レス投稿

画像をタップで並べ替え / 『×』で選択解除