독도는 한국땅 19세기일본교과서 발견

58

    • 1名無し2017/02/15(Wed) 17:35:44ID:g0MDEyMDU(1/11)NG報告

      http://m.news.naver.com/read.nhn?mode=LSD&sid1=102&sid2=256&sid3=417&oid=025&aid=0002686049

      저는 한자를 잘모르지만 일본분들이 보기에 어떤내용이 적혀있나요?

    • 9名無し2017/02/15(Wed) 18:05:41ID:g0MDEyMDU(5/11)NG報告

      >>7 저는 한자와 일본어를 모릅니다

      뉴스를보면 알겠지만 한국의 영남대학연구팀이 주장하는것입니다

    • 10名無し2017/02/15(Wed) 18:07:23ID:U3Mzg3MDU(2/5)NG報告

      >>5
      江戸時代の日本では、現在の鬱陵島を「竹島」、
      現在の竹島(韓国で言う独島)を「松島」と呼んでいました。

      また、江戸末期には鬱陵島を松島と呼んだ時期もあるので、
      当時の資料が具体的にどれを指すのかは議論の分かれる所。

      現在では、明確に区別していますよ。

    • 11名無し2017/02/15(Wed) 18:08:55ID:c1MzE3MzU(1/1)NG報告

      >>6
      センスが良いwww

    • 12名無し2017/02/15(Wed) 18:09:47ID:UwMTAxODU(1/1)NG報告

      >>5
      日本では、昔から数字の数え方の一種として、「1-2-3」の代わりに、「松ー竹ー梅」というのが
      あるのですよ
      だから「島」が3個あったから地元漁師が順番に「松島ー竹島ー梅島」と名付けたのです

    • 13名無し2017/02/15(Wed) 18:09:55ID:g0MDEyMDU(6/11)NG報告

      >>8
      그럼 위치가 조선에가깝다는뜻이지 조선령이라는말은 적혀있지않다는뜻인가요?

    • 14hato◇chon_shine2017/02/15(Wed) 18:10:05ID:gzNDI5OTU(2/4)NG報告

      >>9
      その文章が本当に朝鮮に有利なら文章の詳細な訳と共に発表するでしょう。
      個人個人の愛国戦士の武器になるのだから。
      それが出来ない文章なのです。
      あなたが質問しないといけないと言う事は隠している不正な主張だからです。

    • 15名無し2017/02/15(Wed) 18:11:35ID:g0MDEyMDU(7/11)NG報告

      >>12 실례합니다만 번역이 잘안되어서 이해를못하겠습니다

    • 16名無し2017/02/15(Wed) 18:11:55ID:I2NzQ4MjA(1/1)NG報告

      竹島は日本固有の領土、って書いてあります。

    • 17名無し2017/02/15(Wed) 18:13:51ID:g0MDEyMDU(8/11)NG報告

      >>10

      http://m.news.naver.com/read.nhn?mode=LSD&sid1=102&sid2=256&sid3=417&oid=025&aid=0002686049

      기사원문입니다 혹시 번역기를 통해서 보실수있습니까?,

    • 18名無し2017/02/15(Wed) 18:15:16ID:g0MDEyMDU(9/11)NG報告
    • 19名無し2017/02/15(Wed) 18:17:34ID:g0MDEyMDU(10/11)NG報告

      >>10

      에도시대에 현재의 울릉도를 다케시마라고 불렀다면

      왜 현재에는 한국이말하는독도를. 다케시마라고 부르게된
      경위가 있습니까?

      한국이말하는독도. 현재의다케시마에는 대나무가없지않나요?

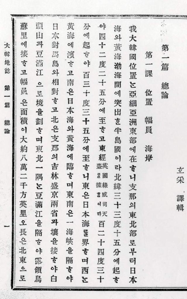
    • 20名無し2017/02/15(Wed) 18:24:03ID:U3Mzg3MDU(3/5)NG報告

      >>17
      読めますよ。そして、読みました。

      根本的な問題は、当時の資料にある松島・竹島が、現在でいう鬱陵島・竹嶼を指しているのに、
      前述したように、意図的に竹嶼を現在の竹島として解釈している点。

      恐らく史料を提示した教授、もしくは記事を書いた記者は、そのことに気付いていると思う。
      その証拠に、史料にある竹嶼には竹が生えているという記述を訳していない。
      だって、竹島(韓国で言う独島)には竹なんて自生してないもんな。

      おまけ
      二つ目の地図の説明で、島根県がシネマ県になっているのには笑った。

    • 21名無し2017/02/15(Wed) 18:24:06ID:Q3ODczOTU(1/3)NG報告

      鬱陵島、竹島(独島)の日本での島名変遷

      江戸時代の島名     幕末の島名     現在の島名
      竹島(磯竹島) ==> 松島 =====> 鬱陵島
      松島 =======> リャンコ島 ==> 竹島

    • 22hato◇chon_shine2017/02/15(Wed) 18:25:47ID:gzNDI5OTU(3/4)NG報告

      >>18
      その記事だけでも矛盾が出ているよ。
      2枚目の画像である古地図で鬱陵島に竹島、竹島に松島と書いてある。

      小さな島の色など全く意味を持たない。現在6,852島も島を持っているからね。
      今でも色のついて無い島はある。

    • 23名無し2017/02/15(Wed) 18:26:50ID:g3MzA5MDU(1/1)NG報告

      >>19

      松 竹 梅
      これは日本で 上物 中物 下級 の様に位を表す表現で使われます。
      松島、竹島はいくつか有るのです。

      尚、彼方が>>1に貼った書物には島の位置が距離で記されていて、最初に書かれている松島が現在の竹島の位置になります、そして、竹島が釜山の近くの様に書かれているのはおかしいですよね?

      同時に当時の地図で、この書物の島の名前にに有ったものが存在します。

    • 24名無し2017/02/15(Wed) 18:27:18ID:g0MDEyMDU(11/11)NG報告

      >>20 그렇군요 감사합니다

      한국의독도, 현재일본의다케시마에는 대나무가자라지않죠

      근데. 사료에서. 대나무가자라고 있다는것을. 번역을 안한것이군요

    • 25ずんつぁん2017/02/15(Wed) 18:27:22ID:Y3NDQ5NDA(1/1)NG報告

      >>2
      ↓ピンク色のマーカー部分に書いてあること
      ----------------------------------
      その西北海上に、松島・竹島という小さな島があります。
      そこから50kmぐらい離れた所に、朝鮮領の鬱陵島があります。
      最近その島(鬱陵島)を独島という名前に変えたと朝鮮が言いました。
      ----------------------------------

      もう一個のほうは写真が小さくて読めない;
      爺さん老眼なんだよ、ごめんね(´・ω・`)

    • 26名無し2017/02/15(Wed) 18:28:02ID:k2MjQ4NjA(1/1)NG報告

      >>15
      梅の木が翻訳できてないですね。12の人が言ってるのは、
      日本では1,2,3と数える代わりに、木の名前で順番を数えることがあって、

      1도、2도‥と名前を付ける代わりに、木の名前を付けたということですよ。

      韓国でも数字以外で順序を付けることがあると思うので、(ga na da ra.. 甲乙丙丁)それと同じだと思ってください。

    • 27名無し2017/02/15(Wed) 18:31:06ID:Q3ODczOTU(2/3)NG報告

      朝鮮人は花札が好きだろ
      1:松、2:梅、3:桜、4:藤、5:アヤメ、6:牡丹

    • 28名無し2017/02/15(Wed) 18:32:26ID:U3Mzg3MDU(4/5)NG報告

      >>24
      そうです。史料の最後の二行がそれに当たります。

      >>25
      >>17のソース記事に行けば大きな物が見られますよ。

    • 29hato◇chon_shine2017/02/15(Wed) 18:33:31ID:gzNDI5OTU(4/4)NG報告

      んで、この話題ってエンコリ時代の大昔から繰り返される「新発見!」

    • 30工學人2017/02/15(Wed) 19:00:08ID:Q4NTA4NzU(1/1)NG報告

      나도 한국 역사학자를 하고싶다.

      과거의 자료 아무거나 들고와서 일제의 만행이 새롭게 밝혀진 NIDA 사죄와 배상을 하는 NIDA 하고 편하게 연구하고싶다.

    • 31名無し2017/02/15(Wed) 19:06:38ID:U3Mzg3MDU(5/5)NG報告

      >>30
      ここのスレ主のように内容を確認しようとする韓国人はめったにいないからね。
      やっていることが研究と言えるかどうかは別として、楽な商売だと思う。

    • 32名無し2017/02/15(Wed) 19:12:56ID:Q3ODczOTU(3/3)NG報告

      朝鮮人は「于山島」と呼んでいた島名が「武陵」に変わり、
      さらに「鬱陵島」に変わった事を忘れてしまった

      そしてバカだから「于山島」は竹島(独島)のことだと言い張ってる

    • 33名無し2017/02/15(Wed) 19:46:46ID:AwNjY4NTU(1/1)NG報告

      >>24
      竹が育つから竹島と呼んだわけじゃないからな・・・w

    • 34 GO◆J0A/Smvrk.2017/02/15(Wed) 20:07:13ID:c4MjczMzA(1/1)NG報告

      やめられない、止まらない、DOKDO占拠♪

      もっともっと主張して領有権
      日本としては慰安婦よりもやり易い
      戦後に漁民殺され拉致されたから証拠がいっぱい
      でも最近アイツらは強制徴用で強請ろうとしてんのかな

    • 35名無し2017/02/15(Wed) 21:03:10ID:U1NzExMjU(1/1)NG報告

      読めない

    • 36名無し2017/02/15(Wed) 21:26:59ID:ExMzE1ODA(1/1)NG報告

      >>1
      >>9
      「私は漢字と日本語がわかりません」
      ↑まるで漢字と日本語以外なら分かるかのような言い草だなww
      馬鹿はスレ立てんな。

    • 37名無し2017/02/15(Wed) 23:22:27ID:k2MjcxOTU(1/1)NG報告

      はぁーあ
      >>1のように確認も検証もせず、記事を読んで、やっぱりそうだったんだ!って鵜呑みにする韓国人が多発しそう
      そして、またそんなアホを相手にしなきゃいけない日本人や>>1みたいな人が苦労するんだろうな

    • 38名無し2017/02/16(Thu) 00:12:14ID:U1Mzc2MzI(1/1)NG報告

      >>7
      韓国では日本海を東海と書かれてる古地図を探し出し、その古地図には独島が竹島と書かれていて壮大な恥をかいたからw

    • 39名無し2017/02/16(Thu) 00:36:45ID:E1MTg1Mjg(1/1)NG報告

      >>1独島なんて乗ってない!黄海の位置も違ってないか?

    • 40名無し2017/02/16(Thu) 00:43:23ID:IwNDg3MjA(1/1)NG報告

      >>18
      やっぱり、ブロックされて魚拓とれなかった
      そろそろサイトのページ消されるんじゃない?

      ブロックされました
      robots.txtによってキャッシュが禁止されており取得できません。(現在の法律では国内外のサービス問わず、日本国で法的に収集が禁止されていると解釈しています。詳しくは利用規約をご覧ください)

    • 41名無し2017/02/16(Thu) 01:41:44ID:cxODQxMjg(1/1)NG報告

      松 冬でも枯れないで、緑色の葉をつけている。
      竹 成長が早い。
      梅 春になって最初に咲く。

      日本では松、竹、梅は縁起が良いものと考えている。
      (上、中、下という意味でも使うことがある。)

      竹があるから竹島と名付けているわけではない。

    • 42名無し2017/02/16(Thu) 01:41:51ID:E4NTYwMA=(1/1)NG報告

      >>1
      学者の、発表でも、鵜呑みにせず、ちゃんと、確認しようとする、姿勢を評価する。

    • 43名無し2017/02/16(Thu) 03:04:32ID:I0NzM0NTU(1/1)NG報告

      >>1
      反日なんだろうが
      事実を調べる賢明さは、評価する。

    • 44╰U╯2017/02/16(Thu) 05:56:05ID:g5MDc1ODQ(1/3)NG報告

      竹島が日本になったのは1905年からです。

    • 45╰U╯2017/02/16(Thu) 06:03:17ID:g5MDc1ODQ(2/3)NG報告

    • 46╰U╯2017/02/16(Thu) 06:04:55ID:g5MDc1ODQ(3/3)NG報告

      かまぼこ

    • 47 名無し 2017/02/16(Thu) 06:36:09ID:k1MTg0MDA(1/2)NG報告

      >>1
      君は韓国人には珍しく、中立的な視点で物事を深く究明しようとする、冷静な人物らしいから、韓国?側の資料も見せるよ。

      http://www.cas.go.jp/jp/ryodo/shiryo/takeshima/detail/t1906000000103/t1906000000103-p02.pdf

      このURLの画像は「大韓地誌」と言う名前の、大韓帝国時代の地理教科書で、もちろん日韓併合前の1906年版だよ。
      第一篇の総論で「我大韓国」は東経130度35分までとあるのだよ(君らが独島と呼ぶ竹島は、東経131度52分にある)。
      これの初版は1899年版で、大韓帝国の領域は変化していないし、東海どころか日本海と記述されているのだよね。
      どう思いますか?

    • 48名無し2017/02/16(Thu) 07:12:46ID:c3OTAzMzY(1/1)NG報告

      ちなみに松竹梅は、同位扱いだからね。ランクが下がるってのは、そもそもの意味と違う現代誤訳。

      言葉というのは変化するもの。韓国人は変化した言葉を見て、過去の名前はニセモノだと叫ぶからおかしい歴史観に気づけないんだよ。

    • 49 名無し 2017/02/16(Thu) 07:39:23ID:k1MTg0MDA(2/2)NG報告

      >>48
      仕方がないよ。
      政府レベルで1947年の、これすら忘れてしまえるぐらいにバカだからね。

    • 50名無し2017/02/16(Thu) 09:49:37ID:U5MjQ4NDA(1/2)NG報告

      >>13
      書いていませんよ。

    • 51名無し2017/02/16(Thu) 10:03:51ID:UzMjYwMDA(1/2)NG報告

      江戸時代の呼称<竹島(磯竹島)> → 現在の呼称<鬱陵島>

      江戸時代の呼称<松島> → 現在の呼称<竹島(独島)>

      ※현재의 다케시마는 일본에서 일찍이 ‘마쓰시마(松島)’로 불렸으며, 반대로 울릉도가 ‘다케시마’ 또는 ‘이소 다케시마’로 불렸습니다. 다케시마 또는 울릉도의 명칭에 대해서는 유럽의 탐험가 등에 의한 울릉도 측위(測位)의 잘못에 따라 일시적인 혼란이 있었지만, 일본국이 ‘다케시마’와 ‘마쓰시마’의 존재를 옛날부터 인지하고 있었던 것은 각종 지도나 문헌에서도 확인할 수 있습니다. 예를 들면 경위선을 투영한 간행 일본지도로서 가장 대표적인 ‘나가쿠보 세키스이(長久保赤水)’의 “개정일본여지로정전도(改正日本輿地路程全図)”(1779년 초판)외에도 울릉도와 다케시마를 한반도와 오키 제도 사이에 정확하게 기재하고 있는 지도가 다수 존재합니다.

    • 52名無し2017/02/16(Thu) 11:09:00ID:UyMjMxNDQ(1/1)NG報告

      >>1
      鬱陵島は日本より朝鮮に近い。でも江戸時代から、「日本人」が「日本政府」の許可を得て鬱陵島で竹の伐採という商業活動をしていた。
      そう書いてある。
      つまり鬱陵島は日本の統治圏だったという記載。
      日本人としては別にこれを根拠に鬱陵島の領有を主張するつもりはない。でも竹島の帰属を示す記載は一切書かれてはいない。

      これを竹島の領有権主張の根拠として報道してしまう韓国マスコミのレベルが分かるだろ?
      あなたは、今、この記事を書いた記者よりは賢くなったよ。

    • 53名無し2017/02/16(Thu) 13:28:55ID:UzMjYwMDA(2/2)NG報告

      ①現在の呼称~<鬱陵島>のことを江戸時代では<竹島(磯竹島)>と呼称していた。

      ②現在の呼称~<竹島(独島)>のことを江戸時代では<松島>と呼称していた。

      韓国人は、この①と②を理解していない人が多い。

      そして、地名や島の呼称は時代によって変更されました。
      一例として、
      名古屋=尾張、岐阜=美濃、高知=土佐、福岡=筑前など

    • 54名無し2017/02/16(Thu) 14:01:01ID:A4Nzg0NDA(1/1)NG報告

      고문서 관련으로는 새로이 밝혀진 사실이 한 건도 존재하지 않음 전부 조선이랑 무관하다는 사실을 뒷받침하는 자료들 뿐.
      제발 좀 받아들이자 우산도는 지금의 울릉도를 가리키고 조선은 고종때까지 다케시마가 어디인지도 몰랐다.

    • 55名無し2017/02/17(Fri) 18:56:25ID:M2NTI5OTg(1/1)NG報告

      漢字くらい読めるようになりなさい。
      小学生でも読める漢字だぞ。

    • 56名無し2017/02/19(Sun) 13:05:24ID:A2MzE0MzU(2/2)NG報告

      既に論破された資料を「新しい証拠」だと言うのは、韓国人が健忘症だから?

    • 57サムズアッパーたける2017/02/19(Sun) 13:14:34ID:Y1MzkxMTc(1/2)NG報告

      寿司の質も松竹梅で表すよ

      言いたかっただけです

    • 58サムズアッパーたける2017/02/19(Sun) 13:20:58ID:Y1MzkxMTc(2/2)NG報告

      歴史的にも国際的に独島は韓国領土であることを十分に知ることができる。 国際的に見て、1945年8月15日、日本が連合国に降伏してサンフランシスコ条約を結んだ以上、日本は独島領有権を主張する権限がない。 連合国軍最高司令部でも、独島は韓国行政管轄区域に指定され、日本の法は、独島に適用することはできないということを知ることができる。 http://kinimage.naver.net/storage/upload/2006/04/5/dell14_1145347780.jpg?type=w620上の写真は、フランスや英国が韓国領土を表記したことであるここに厳格に独島も入っている http://imgnews.naver.net/image/001/2013/02/14/PYH2013021414860005301_P2_59_20130214183034.jpg?type=w540
      欧米諸国も、独島や東海が韓国の所有であることを知っていた。しかし、日本は自分たちの土地という主張を合理化する証拠はなく、そのような仕事をする権限がないため、結局、日本が国際裁判所に独島を再起するのは厳然とした国際法違反に過ぎない。

レス投稿

画像をタップで並べ替え / 『×』で選択解除